Product Center
当前位置:
1st cDNA Synthesis Kit (With dsDNase)

1st cDNA Synthesis Kit (With dsDNase)

品牌:麦伯生物
货号:/
规格:/

0.00
0.00
  
商品描述

品牌:麦伯生物
货号:/
规格:/


产品简介

本产品是一种高效、稳定、快速并可以去除基因组 DNA 污染的反转录系统,5× RT MasterMix为一管式反转录预混 Mix,只需加入模板 RNA 、引物和水即可进行反应。试剂盒采用的反转录酶去除了RNase H活性,且热稳定性更强,提高复杂RNA模板的反转录。MasterMix中添加了热敏双链特异性核酸酶,可在反转录过程中去除基因组DNA污染。Oligo dT & Random Primer单管提供,如需使用特异性引物,可直接将其替换使用。

产品特点

性价比高:节约实验成本,保证实验结果。

操作简便:5×预混液,使用简便。

去除基因组:添加dsDNase,去除基因组污染。

适用性强:引物单管提供,可替换,目的基因特异性反转录适用。



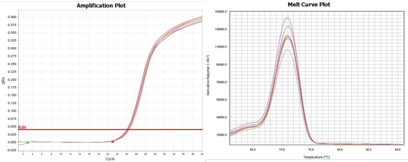
反转录产物定量所得ct值与T品牌一致

不同起始量RNA反转录效率一致

0.5/1/2μg RNA反转录后分别稀释10/20/40倍,qPCR检测


产品名称货号规格目录价(RMB)
2×Taq PCR SuperMix(dye+)M20115ml150
M201225ml650
M2013100ml2200
2×Magic HiFi PCR MixM20311ml300
M20325ml1350
M203325ml6000
Magic 1st cDNA Synthesis Kit (With dsDNase)M211120ul×50次680
M211220ul×100次1200
QuantFast SYBR Green qPCR SuperMixM221120ul×500次1180
M221220ul×500次×109500
Magic SYBR Green qPCR MixM223120ul×500次800
M223220ul×500次×107000