
液体活检由于具有一些组织活检不可替代的应用优势,可对肿瘤、遗传病等疾病进行无创检测、诊断、治疗指导和监测,在科研和临床领域已经有了突破性的进展。目前,液体活检的主要检测样本类型是血液,在样本保存、运输过程中,血液中的有核细胞有可能裂解释放出基因组DNA,污染血液中的游离核酸(cfDNA),影响检测结果。此外,细胞裂解所释放的核酸酶也会降解cfDNA,破坏检测的灵敏度。
LAKEbio依托多项核心技术,自主研发所有的化学配方,推出Lakebio游离DNA常温保存管产品,用以以解决整个检测流程在初始步骤存在的隐患。使用Lakebio游离DNA常温保存管采集血液样本后,在6℃~35℃可以稳定保存cell-free DNA 7天,不仅在运输过程中无需保持干冰(-78.5℃)的冷链运输条件,而且与传统采血方式相比,可以避免在采血点完成血浆分离的繁琐步骤,为样本的批量集中检测和长距离运输带来了极大的便利。
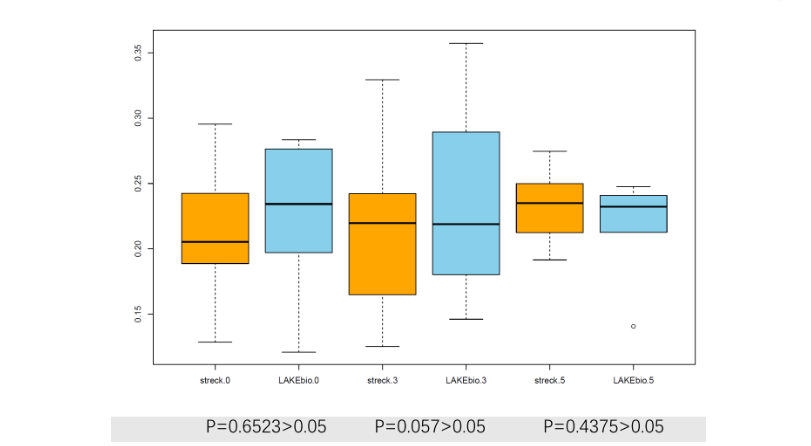
Lakebio游离DNA常温保存管在肿瘤和NIPT领域已经有数百万例的使用数量。经过多轮测试,其性能与streck管无显著差异。
产品特点:
一、合规可靠
● 完全自主生产(非OEM代工)
● 无菌供货
● 独有专利保护
● 第二类医疗器械注册许可
二、优质稳定
● 常温保存全血中cell-free DNA7天,适用于肿瘤液体活检等基因检测领域
● 负压稳定,且有适合高原地区使用的专用采血管
● 优质玻璃材质,极大减少破管裂管风险
● 有效期长达18个月
性能展示:






实验结论:
LAKEbio游离DNA保存管与Streck从时间、温度、运输、测序数据四个维度测评cfDNA提取量和Ratios,结果显示其性能均无明显差异。
订购信息:
